1 life 2 live
[통계 공부] 메타코드M - 데이터 분석 (통계 기초의 모든것) 6장-2 본문
5. 통계적 추정: 구간추정

1. 구간추정
: 표본에서 얻어지는 정보를 이용하여 모수가 속할 것으로 기대되는 범위(신뢰구간)를 택하는 과정
: 통계적 추정은 일반적으로 신뢰구간의 추정을 활용
: 모수 θ에 대하여 P(a < θ < b) = 1 - α일 때 구간 (a, b)을 모수 θ에 대한 100(1 - α)% 신뢰구간이라고 한다.
2. 신뢰구간
: 모수를 포함할 것으로 추정한 구간
3. 신뢰수준
: 신뢰구간이 모수를 포함할 확률 (1 - α) * α: 오차율
: 동일한 표본추출을 통해 구한 신뢰구간들 중 100 X (1 - α)%는 모수를 포함
5. 통계적 추정: 모분산을 아는 경우

- 모분산을 아는 경우
가정) 모분산을 안다.
- 모집단의 평균이 μ, 분산이 σ²인 정규분포
Z통계량을 사용(표준정규분포)

→ 오차율 α: 추정한 구간을 모평균이 벗어날 확률
→ 구간 추정에 앞서 신뢰구간과 오차율을 정함.
→ ex) 신뢰수준을 90%로 할 때, α/2 = 0.1/2 = 0.05이므로 신뢰 수준을 벗어난 영역이 각각 0.05의 확률값을 가지고 있어야 한다.
→ 신뢰구간 오류→ 다 마이너스 붙여야 함. Z0.05 = -1.64, Z0.95 = 1.64(=1.64보다 Z가 작을 확률이 0.95이다)(신뢰구간은 P(Z≤z)이므로 Z값이 z보다 작거나 같은 구간을 의미)
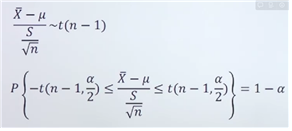
5. 통계적 추정: 모평균의 구간추정

-모분산을 모르는 경우
가정) 모분산을 모른다.
- 모집단의 평균이 μ, 분산이 σ²인 정규분포
t통계량을 사용

표본의 크기가 클 경우 Z통계량을 사용
728x90
반응형
'빅데이터' 카테고리의 다른 글
| [통계 공부] 메타코드M - 데이터 분석 (통계 기초의 모든것) 7장-2 (1) | 2024.02.12 |
|---|---|
| [통계 공부] 메타코드M - 데이터 분석 (통계 기초의 모든것) 7장-1 (0) | 2024.02.11 |
| [통계 공부] 메타코드M - 데이터 분석 (통계 기초의 모든것) 6장-1 (2) | 2024.02.09 |
| [통계 공부] 메타코드M - 데이터 분석 (통계 기초의 모든것) 5장-3 (1) | 2024.02.06 |
| [통계 공부] 메타코드M - 데이터 분석 (통계 기초의 모든것) 5장-2 (0) | 2024.02.02 |
Comments