1 life 2 live
[통계 공부] 메타코드M - 데이터 분석 (통계 기초의 모든것) 5장-3 본문
5. 연속확률분포: 카이제곱 분포의 특징
단봉분포
→ 봉이 한 개
오른쪽에 꼬리를 가짐
→ skewness가 0을 초과하는 값(양수)를 가진다.
항상 양수값을 가짐
→ 표본 분산에 관련된 분포이기 때문
자유도가 커지면 정규분포에 가까워짐
→ 데이터의 개수가 많아진다는 뜻이므로
모분산 추정 및 검정에 활용
→ 표본 분산을 이용하여 추정
적합성, 동질성, 독립성 검정 등에 사용
→ 범주형 자료(수치형 x)에 해당하는 검정

5. 연속확률분포: 카이제곱 분포의 특징

t분포
: X의 분포가 정규분포일 때, 표본평균의 분포에서 모집단의 표준편차를 모를 경우 모표준편차 대신 표본표준편차를 사용
→ 표본평균에 대한 분포로 표본 평균을 통해 모평균을 검정하거나 모평균을 추정할 때 사용
: t분포는 자유도에 의해 모양이 결정됨
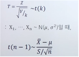
: Z ~ N(0, 1), V ~ χ²(k)(=카이제곱 분포를 따르는 V)이고 Z와 V는 서로 독립일 때,

→ X1, … , Xn이 서로 독립이고 정규분포를 따를 때, 자유도가 n-1인 t분포를 따른다.(X: 표본평균, S: 표본표준편차)
5. 연속확률분포: t분포의 특징

→ fat tale, 극단값에 대한 확률값이 정규분포에 비해 조금 더 크다.
5. 연속확률분포: F-분포의 특징

F분포
: F-분포는 두 정규모집단의 분산을 비교하는 추론에 사용
: V1과 V2는 각각 자유도 k1, k2인 카이제곱분포를 따르는 독립인 확률변수

728x90
반응형
'빅데이터' 카테고리의 다른 글
| [통계 공부] 메타코드M - 데이터 분석 (통계 기초의 모든것) 6장-2 (1) | 2024.02.10 |
|---|---|
| [통계 공부] 메타코드M - 데이터 분석 (통계 기초의 모든것) 6장-1 (2) | 2024.02.09 |
| [통계 공부] 메타코드M - 데이터 분석 (통계 기초의 모든것) 5장-2 (0) | 2024.02.02 |
| [통계 공부] 메타코드M - 데이터 분석 (통계 기초의 모든것) 5장-1 (2) | 2024.02.01 |
| [통계 공부] 메타코드M - 데이터 분석 (통계 기초의 모든것) 4장 (0) | 2024.01.31 |
Comments