1 life 2 live
[통계 공부] 메타코드M - 데이터 분석 (통계 기초의 모든것) 5장-1 본문
5장 - 연속확률분포
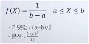
5. 연속확률분포: Uniform Distribution

1. Uniform Distribution
: 연속확률분포 중 가장 간단한 분포
2. 확률밀도함수(pdf)

5. 연속확률분포: 정규분포

1. 정규분포(가우스 분포)
: 연속확률분포 중 가장 널리 사용
: 표본을 통한 통계적 추정 및 가설검정이론의 기본
2. 확률밀도함수

→ X1, … , Xn일 때 각각이 다 정규분포에 따른다면, 분포(모양, 위치, 형태)가 다 다르기 때문에 표준정규분포화 시켜 각 변수를 비교할 수 있다.
→ 표준정규분포: X ~ N(0, 1)
5. 연속확률분포: 정규분포의 특징

1. Bell Shaped: 평균을 중심으로 좌우 대칭의 종모양
2. 평균 = 중앙값 = 최빈값
3. 평균에 의해 분포의 위치가 결정
4. 표준편차에 의해 분포의 모양이 결정
- 표준편차가 크면 평평한 곡선이 됨
5. 확률변수 X가 어느 구간에 속할 확률은 그 구간과 분포함수로 이루어진 면적값
6. 이항분포와 포아송분포는 일정조건이 만족될 때 정규분포로 근사 가능
- np > 5 and n(1 - p) > 5
- λ > 5
→ p나 λ를 추정하기 어렵기 때문에 정규분포에 근사한다는 것이 중요
아래 사이트에서 동영상을 보고 공부 중이다.
출처: https://domythang.tistory.com/841 [1 life 2 live:티스토리]
728x90
반응형
'빅데이터' 카테고리의 다른 글
| [통계 공부] 메타코드M - 데이터 분석 (통계 기초의 모든것) 5장-3 (1) | 2024.02.06 |
|---|---|
| [통계 공부] 메타코드M - 데이터 분석 (통계 기초의 모든것) 5장-2 (0) | 2024.02.02 |
| [통계 공부] 메타코드M - 데이터 분석 (통계 기초의 모든것) 4장 (0) | 2024.01.31 |
| [통계 공부] 메타코드M - 데이터 분석 (통계 기초의 모든것) 3장-2 (2) | 2024.01.25 |
| [통계 공부] 메타코드M - 데이터 분석 (통계 기초의 모든것) 3장-1 (1) | 2024.01.24 |
Comments